中国炼铁网移动版

主页 > 技术文摘库 >

为降低燃料比和长寿必须精细化操作及加强对炉内的研究

摘 要 精细化操作,低燃料比、延长高炉寿命及降低成本都要求加强对炉内现象的研究。当前我国高炉炼铁正向加强科研的方向发展,有一批先进高炉正在进行这方面的工作。不管是管理、生产、操作还是设计都应该用新的尺度来衡量所有技术措施的合理性。本文介绍了这方面的进展。

关键词 降低燃料比  长寿  中心加焦  解剖调查


我国高炉的热量消耗高。应从炼铁系统的各个环节支寻找。高热量消耗必然导致炉内过程进行一系列的变化。为了降低燃料比、降低成本,高炉炼铁必须精细化操作,以及加强对高炉炉内过程的研究。
现今世界炼铁界对高炉内部的状态已经从静态转变为动态的观念,已经从线性转变为多维的、立体的,考虑问题已经从单因素转变为多因素研究,因为本来高炉就存在多种矛盾;各种矛盾相互运动,相互制约,相互转化;各种矛盾在运动中变化,在运动中平衡。
由于高炉炼铁是一个多相运动的、复杂的物理化学反应过程。除了应用物质平衡、能量平衡的规律以外,还要应用多相流体力学、运动力学、化学反应动力学等基本规律;以及高炉内软熔带、风口循环区、死料堆等等基本现象进行分析。


1  低燃料比和高炉长寿必须加强高炉炉内现象的研究

高炉技术的发展史表明:当某个国家炼铁工业起飞和燃料比下降之前炼铁技术必然有一个大幅度的发展。例如:18世纪第一次工业革命后欧洲炼铁技术有突飞猛进的发展,热风炉等技术的使高炉焦比大幅度下降;随后在20世纪初美国和德国炼铁技术迅速发展;20世纪40~50年代苏联炼铁技术位于世界炼铁技术的前列,对高炉炉内现象进行了较系统的研究;60年代以后日本炼铁技术崛起,产量由1960年1127万吨猛增至1970年的6754万吨,全国平均燃料比由1960年617kg/t下降至1970年的475kg/t,矿石比由1518kg/t上升至1580kg/t,利用系数由~1.0t/(m3.d)提高至1.73 t/(m3.d)。日本高炉技术深入到高炉炉内,最突出的就是对高炉的解体调查,对死料堆、循环区、软熔带、块状带的状况,以及矿石的还原和焦炭在炉内的劣化过程等等。
由于历史的原因我国对高炉强化的认识存在误区,重产量、轻能耗;重系数、轻焦比,以为多鼓风就能多产铁,采取粗放型的生产模式,忽视节约资源、能源和降低燃料比的工作。而降低燃料比必须转变操作模式,由粗放型转变成集约型的操作模式。必须从加强科学研究着手,扎实做好降低燃料比和长寿的工作。我国之所以在钢铁起飞,生铁产量已经达到9亿吨的水平,但对发展炼铁科学的需求不高,凭经验就能应付日常的管理和操作,归根到底是由于粗放型的生产所致,对高炉状况的研究相对滞后。
为要高炉炼铁的精细化管理和操作,作者认为应该进行两方面的工作要做:一方面要总结前段时期降低燃料比和长寿的成功经验,加以标准化、规范化。另一方面必须加强对高炉内部过程的研究。后者对标准化提供科学依据,正如我们近年为合理选择高炉鼓风机所做的工作那样[1]。


2  低燃料比和高炉长寿对生产提出更高的要求

降低燃料比是我国高炉炼铁长期忽视的问题。近20年来,我国在精料水平、高风温、富氧、喷煤等客观条件的改善方面进行了一系列的工作,可是当前原燃料质量有下降的趋势,高风温、富氧也是有限度的,提高喷煤量受强化和原燃料质量的限制。为了降低燃料比只有从合理强化、合理布料、提高炉身效率、提高炉内煤气一氧化碳的利用率等改善高炉工艺过程方面寻找办法,必须对炉内现象等方面进行深入研究,必须改变粗放型高炉操作的理念。
最近我们对一批2000m3级高炉生产日报数据。从能量流的角度,运用Rist线图和分区热平衡、氧平衡、碳素平衡,风口前燃烧温度及燃烧带提供的热量,以及评价高炉生产效率的新方法进行了分析[1]。分析表明:
(1)我国2000m3级高炉经过校算后,按高温区的热量收入分为两组:炉腹煤气量指数为60m/min以下的一组,高温区热量收入为4.3GJ/t左右,不过另外也有一些高炉腹煤气量指数高于60m/min,高温区热量收入高达5.2GJ/t,甚至5.5GJ/t,要较国内外高炉高许多。国外先进高炉的炉腹煤气量指数均比较低,而高温区热量收入在4.0GJ/t以下,宝钢生产一直控制炉腹煤气量的水平,高温区热量收入在4.3左右GJ/t。国内外先进高炉与2000m3级高炉相比差12~43%,相当可观。剩余的热量除了提高燃料比以外,由煤气带出炉外,提高成本,增加污染。这些过剩热量无论对高炉冶炼没有必要,而且对高炉设备和内衬也只有负面的影响。
(2)高炉风口鼓风参数对高炉过程起着关键性的作用,因此在高炉精细化操作中要抓住这个重要环节。经常用物料平衡和热平衡校正鼓风、氧气流量计,计算风口耗氧量和燃烧碳素量,掌握高炉热量消耗和还原过程的状况。
(3)校算以后T组高炉的炉腹煤气量指数下降了6.0m/min,风口燃烧碳素量,下降了近0.2mol C/mol Fe;可是与N、Q组高炉相比,炉腹煤气量指数仍相差5.7m/min,风口燃烧碳素量仍有0.3mol C/mol Fe的差距:燃烧提供的热量虽由5.4GJ/t下降至5.2GJ/t,可是较N、Q组高炉仍相差0.9GJ/t,相差20%;煤气利用率差约7%;
(4)T组高炉调整后Rist线的斜率降低约0.2,理应大幅度降低了燃料比;可是按调整后Rist线的斜率计算燃料比要较日报约高50kg/t,是否采用了综合冶炼强度中的综合焦比作为燃料比不得而知;T组高炉与N、Q组高炉Rist线的斜率约大0.5,燃料比相差近80kg/t。
(5)在提高炉腹煤气量量,应充分考虑对燃料比、对产量、对成本的影响。实践表明,炉腹煤气量指数过高,不但利用系数不能提高,反而有下降的趋势;还引起燃料比上升、能源介质增加;多投入、少产出,反而提高了成本。
我国高炉的热量消耗如此之大。高热量消耗必然导致软熔带的变异,高温区的变化,必须对高炉过程进行一系列的研究;以及过剩的高温热量对高炉内衬和冷却设备影响的研究,寻求解决的办法。减少高炉高热量的消耗是一项系统工程,要从原料进入钢铁厂开始,直到渣铁、煤气及炉尘等副产品出炼铁系统的各个环节来寻找。最近我国有些单位对高炉开始进行比较深入的研究,如对实物大小模型中的无料钟炉顶布料、高炉停炉解剖调查、炉内探测和大型高炉炉底解剖调查等等。这是一件大好事,是一个良好的开端。为发展我国高炉精细化操作、降低燃料比、延长高炉寿命作了扎实的工作,必将对提升我国炼铁技术作出贡献。


3 软熔带位置对块状带的体积及燃料比有巨大影响

降低燃料比、减少吨铁炉腹煤气量必须采取提高煤气利用率的措施。布料方式应该克服发展边缘或过度疏松中心的装料制度。
因此,高炉操作者要经常实时掌握炉内煤气分布,必须保持合适的状态。在评价装料制度时,除了炉身上部煤气成分分布和炉喉部位温度分布以外,炉内块状带体积的大小也是评价装料制度是否合适的重要指标。因为块状带的体积关系到煤气与炉料的接触时间、还原反应进展的程度,为此必须加强对软熔带的研究。


3.1  对软熔带的研究

日本在上世纪60-80年代解剖调查了一批高炉,例如:広畑1高炉、洞岡4高炉、川崎2、3、4高炉、鹤见1、2高炉、千叶1高炉、小仓2高炉、尼崎1高炉、加古川1高炉等等。炉容达到3090m3(图1a)[2],至2002年还解剖了小仓2高炉(第2代)(图1b)[3]。此外,还采用了各种方式研究生产中高炉的软熔带状况,例如在80年代对大分2炉容5070m3高炉炉腰使用光图像纤维直接观察软熔带状况等。

加古川1号高炉第2代(3090m3)于1980年3月5日停炉。在停炉前12小时使用了垂直水平探测器来探测炉内温度分布,并与解体调查剖面观察的结果进行了比较,1200oC等温线很好地与软熔带的外侧形状相一致,见图1(a)。为了扩大低于1200oC间接还原区域,降低燃料比,保持稳定顺行采用了中心加焦 [2,4,5,6,7]。

小仓2号炉容1850m3高炉第2代为了研究炉料内应力场的分布,于2002年停炉进行了解剖调查,并在弹塑性理论的基础上开发了高炉模拟方法进行炉内应力场的分析[16]。通过计算得到了死料堆下部的边界形状与实际解剖调查相符。炉料中应力场分布见图1(b)。
由许多解剖调查得到炉内多种因素影响过程的一些普遍规律,从而模型化,成为解决问题的工具,用以指导高炉管理、操作、设计。上面列举的两个实例有各自的作用。
我们往往引进了模型,其中一些参数是要根据各自的条件而加以修正的。我们没有作深入研究很难对参数重新设定。因此遇到不同情况就难以解决实际问题。
前段时间,莱芜钢铁厂解剖了120m3高炉,对炉内软熔带进行了研究。这是我国对炉内现象进行深入研究的一个良好开端。相信今后由于精细化操作的要求会解剖调查更多的高炉。


3.2  炉内温度场的测量

神户制钢的神户、加古川1、2高炉都设置了垂直水平探测器来探测炉内温度分布。图2为加古川2号高炉1980年2月第二代炉顶安装的探测装置示意图,在探测器中安装了6支鎧装热电偶。探测器随着炉料下降而下降,同时测量了炉内径向和高度方向的温度。

3.3 对中心加焦的研究

在加古川2号高炉(炉喉直径为10m)设置了试验装置,从1986年12月进行了2个月的实验操作。图4表示装置的简图[2,4]。按照C1C2O1O2装料方式,在O2之后向高炉中心部位加入焦炭。中心加入少量焦炭来减少高炉中心狭小范围内的矿焦比;在中心狭小区域内流过较多的CO煤气,使中心气流稳定不影响煤气的利用率,形成稳定的倒V型软熔带,稳定了炉况;中心加焦量由30kg/t,分阶段逐渐增加到150kg/ch,相当于全部焦炭量的0.5%。此时,有17%进入死料堆部位[2]。中心加入的焦炭,抑止了溶损反应,减轻焦炭高温劣化,以改善死料堆的透气性和透液性[2,4~6]。中心加入不同焦炭量对炉内等温线的影响见图5[4]。当中心加焦增加到150kg/ch时,炉墙边缘1200oC等温线下降呈“L”型,低于1200oC的间接还原区域的体积扩大,改善了煤气与炉料的接触条件。

对于无料钟炉顶的高炉,要控制中心加焦量占总入炉焦炭量的1%存在较大的困难。可是德国蒂森施威尔根高炉也进行了深入的大量试验研究的基础上,采用了中心加焦,并取得了低燃料比的良好效果。可惜,我国广泛采用了中心加焦却至今没有看到深入的研究,并提出有说服力的论据说明不同加焦量对炉内现象的影响。

为了能使高炉炉料在过高的冶炼强度下,顺利下降,除了不惜多烧燃料发展边缘以外,部分高炉滥用了中心加焦,以“中心过吹 [7]型”的所谓中心加焦,牺牲燃料换取高冶炼强度。其特点是:
(1)中心加入大量的焦炭,在高炉中心形成大面积低O/C区域;
(2)形成穹顶开了大天窗的倒U型的软熔带,使炉内温度分布不合理,压缩了低于1200oC间接还原区域的体积;
(3)大量富集CO的煤气没有通过矿石层就从炉顶逸出,导致煤气利用率的恶化。
正常的中心加焦与“中心过吹型”中心加焦两者对炉内的效果有明显的差异,使用“中心过吹型”中心加焦的后果可归纳为:(1)煤气与炉料不能有效地接触,间接还原区域缩小,使煤气利用率下降;燃料比升高。(2)软熔带根部肥大、过低,直接还原度升高;(3)中心高温区碳素溶损反应区域的扩大,高炉中心焦炭柱在高温作用下长期呆滞、劣化,造成死料堆扩大、炉缸堆积;(4)软熔带与死料堆的间距减小,限制了通过的煤气量;(5)高炉边缘的O/C很高,而煤气通过量不足,高炉下部有大量未充分还原的炉料可能直接进入炉缸会影响高炉炉缸的寿命。有一批高炉已经总结了这些经验教训,应引以为戒。
千叶6号高炉1978年1月为了确保稳定的中心气流力图维持炉况稳定,进行了过度发展中心煤气的试验[0]。由于焦炭大量装在高炉中间-中心部位中心部位的O/C减少,炉墙部位的O/C增加。产量低、风量和负荷加不上、压力、炉身压力失常、顺行差,经常发生生降和风口前端“曲损”事故。因此,煤气利用率、O/C水平低,燃料比高。
表1为休风时风口上部落下矿石的分析结果[8]。由此在炉墙部位的炉料直到风口上部还没有还原,考虑是引起风口曲损的原因。

4 高炉炉缸长寿

高炉炉缸长寿也是一项系统工程。需要系统地进行研究,这里仅从日常操作的一个方面和炉底解剖调查方面进行介绍。


4.1  高炉日常操作的研究

炉缸内形成阻碍铁水流动的低透液区域将严重影响铁水的流动,加强炉缸侧壁的局部冲刷,导致凝结层局部脱落,致使炭砖直接接触铁水而迅速被侵蚀。如果低透液区偏在炉缸一侧,使铁水发生偏流,产生局部侵蚀的危害更大。生产必须从出铁、出渣的状况密切关注死料堆的透液性及其对炉缸侵蚀的影响。
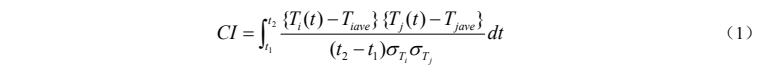
日本千叶6号高炉发现铁口之间渣比发生偏差,以及渣比偏差的消解与铁口平面上侧壁温度的相关关系CI,用下式表示[9]:
图片
式中 T(t)――在t时刻的炉缸侧壁温度;
Tave――测定期间的平均侧壁温度;
σT――炉缸侧壁温度的标准偏差;
下角标:i,j为炉缸侧壁温度的测定点。
当炉缸侧壁温度相差指数CI接近+1时,两点温度呈相同变化;接近-1时,一个温度计上升,另一个温度计显现出下降。此外,CI接近0时,显示出两点的温度没有相关关系。应用高炉炉缸温度,当CI接近+1时,两点之间受同一铁水流的影响;当接近0时,受到不同铁水流的影响,两点之间考虑存在妨碍铁水流动的的区域。
在正常操作期间A及在高燃料比期间B,出铁口平面的侧壁温度CI变化。在高燃料比期间B铁口之间的偏差消失,低透液区域得到消解[9]。


4.2 炉缸炉底的解剖调查

4.2.1 示踪原子及解剖调查

为了确定高炉死料堆和铁水的流动状态,法国、加拿大、日本等国高炉从风口喷入示踪物,测量铁水中示踪物深度随时间的变化。
为了查明渣比的偏差的原因高炉还用示踪原子进行了测量以及在停炉后对高炉下部进行了解体调查,对炉底炭砖、和残铁取样研究。
示踪原子测量结果表明:当低燃料比的正常操作时,死料堆透液性降低,部分铁水由侧壁绕道流向铁口的流动时间延长,说明环流加强。西侧的1、4号铁口比东侧的2、3号铁口渣比高,侧壁长期温度高。当高燃料比操作时,示踪物排出很集中,说明死料堆透液性好,铁水能透过死料堆,比较集中地流向铁口。西侧铁口的渣比增加,而东侧铁口的渣比减少,各铁口间渣比几乎没有偏差,侧壁和炉底温度上升[10,11]。
解体调查的结果炉底残铁沿直径东西方向,在西面炉底侧壁附近区为生铁;从侧壁约2~2.5m往中心为焦炭填充区,见图6。随着取样位置向东移动,焦炭的比例逐渐增加。此外,东边的炉底角部为焦炭与铁水呈混合状态的区域。在炉底与侧壁之间的角部主要为粒度0.005m以下的微粒焦炭与铁水的混合相;在焦炭填充区内为块状焦炭与铁水的混合相;炉底侧壁附近只有铁水,可是在铁水中存在层状焦炭。在残铁上部的焦炭层中焦炭的比例为45~60%,下部为0~40%。考虑受停炉时由于死料堆荷载减轻空隙率变大的影响。
为了准确判断炉底炉缸在生产中的状况,避免人为因素的干扰,千叶6号高炉第2代大修后,泥炮和开口机安装了自动监测开口和堵口过程中的所有参数。例如:开口时的钻进速度、钻进力矩、出铁口深度,打泥压力、打泥速度、打泥量等等的测量装置。

经过半年多的解剖炉底、炉缸锯开后的总断面照片,见图8。目前正在详细取样,这才走了第一步;收集足够的基础材料,准备进一步深入分析研究。高炉的事情还必须进行详细、深入的研究。初步观察,许多地方不是我们想像的那样。

我国过去高炉炼铁重产量、粗放型生产,对炼铁技术的要求不高,放松了科研的投入。

为了降低燃料比和高炉长寿在加强科学管理,必须以试验研究为基础,以科学的态度,大力推行调查研究和科学研究。现在有些先进的高炉感到要想进一步降低燃料比、延长高炉寿命必须花费大力气进行相应的研究工作,才能为进一步精细化管理和操作创造条件。
(1)降低燃料比和延长高炉寿命是高炉炼铁节约资源、节约能源、环保减排、降低成本的根本。
(2)为此,应对高炉炼铁的管理、生产、科研和设计等方方面面的理念、思想、理论、制度、方法都应该进行梳理;只有转变粗放型的炼铁生产管理、操作理念,以及加大在降低燃料比和高炉长寿方面的科研才能作出新的成绩。
(3)高炉炼铁虽然是一项古老的技术,但是影响冶炼过程的因素很复杂,炉内探测困难,因此还有许多不明确的地方。希望在推荐某项技术时,能有实证为依据,说明炉内现象的合理性。
(4)我国已经有一批先进高炉,为了总结成绩和积累第一手的经验,开始进行系统的科研工作。这是一个良好的开端,希望大家能做出一批有水平的成果。
本文介绍了降低燃料比、高炉长寿方面的工作。建议各厂能够重视新动态,为规划各自的研究作参考。


(责任编辑:zgltw)