太钢6号高炉炉内煤气流工况的计算解析
时间:2025-06-30 06:06 来源:太钢 作者:zgltw 点击:次
舒有武 李宝峰 武树永 (太原钢铁集团炼铁厂) 摘 要 分别对太钢六高炉风口燃烧带和块状带煤气流工作参数进行了计算,进一步对风口回旋区的形状参数即最大深度,宽度,高度和体积等,块状带径向不同部位的煤气流运动压力损失进行了解析,局部透视了高炉炉内工况,有利于更好地指导高炉操作。 关键词 风口燃烧带 块状带 煤气流工况 运动压力损失 高炉是一个复杂的高温竖式逆流移动床反应器,它内部的炉料和煤气流的相对运动是决定高炉稳定、高效运行的重要动力学问题。太钢六高炉长期受全炉压差高困扰,虽然通过监测和计算能对炉内局部煤气流工作参数进行分析,但局限性仍较大,对煤气流分布和运动仍认识不充分和透彻。为此,本文通过计算对风口燃烧带的回旋区形状参数,块状带的煤气流压力运动损失分布进行了解析,可以帮助高炉操作者更好透视相关炉内工况,指导操作和炉况调整。 1 风口燃烧带工况 1.1 计算公式 选用了高炉炼铁生产技术手册[1]中的部分公式,以对风口回旋区的形状:最大深度、宽度、高度和体积等参数进行了计算。
1.2 参数现状 BV:6100m3/min O2:26000m3/h BT:1210℃ BH:5g/m3 加湿:4.5t/h TP:220kPa BP:405kPa 风口平均直径:0.124m 工作风口个数:38个 料线:1.4m 矿石综合品位:62% 喷煤量: 60t/h 焦比:362kg/t 燃料比:510kg/t 炉料结构:65%烧结+35%酸性球团 焦炭密度:0.53 kg/m3 焦炭粒径:0.052m 1.3 计算解析 高炉风口燃烧带回旋区是高炉稳定操作不可缺少的重要反应区,其形状对高炉下部气流、炉缸活跃程度及炉料下降影响很大,其尺寸大小将直接影响高炉下部煤气的分布、上部炉料的均衡下降以及整个高炉内的传热传质过程。
风口回旋区也是高炉煤气的发源地,决定着炉内煤气流一次分布。回旋区内焦炭的运动是在气、固、液三相的相对运动中进行的,由焦炭与煤气的运动和焦炭的燃烧叠加而成,是物理运动与化学反应的耦合结果,在复杂的交互作用下进行着一系列质量、动量和热量的传递。从上述公式(1)可以得知,风口回旋区的大小与煤气量成正比,与煤气温度成正比,与焦炭粒径成反比,欲使回旋区空腔长度向炉内延伸,必须提高风量和风温,减小焦炭粒径等,但这些参数又影响着透气性等,因此选择参数时必须兼顾与统一。 太钢六高炉炉缸直径为14.2m,风口小套深入炉内长度为0.368m,通过计算可以得出炉缸横截面上风口回旋区有效面积与炉缸面积比值n=0.469,而大高炉为了保证炉缸有足够透气性和活跃性,n值在0.5-0.6为宜。因此可知六高炉下部回旋区面积占炉缸面积的比例目前偏小,导致炉缸横截面有效通过面积过小,进风通道小而窄,故下部压差居高不下,继而入炉风量严重偏低,又加剧了软熔带根部下移和加厚,进一步使下部通道缩小,压差矛盾加剧。 通过测算,在保证其他参数不变条件下,维持高炉风量BV:6900 m3/min,O2:30000m3/h时能使n值达到0.52,能使风口中心线以上死焦堆高度Hc由6.5m降至6.18m,风口中心线以上死焦堆体积Vc由208.78m3减至181.88 m3,死焦堆体积缩小幅度为12.9%,具体变化如下图。
改善炉内透气性和降低风压,关键在于提高径向有效通过面积和纵向有效体积容量。通过增加风量,提高鼓风动能可以增大回旋区面积,扩大进风有效通道,回旋区高度HR由1.167 m增加到1.192 m,回旋区高度增加了2.14%。在其他参数不变条件下,料层高度和下料过程会对回旋区回旋区高度有一定影响,但影响不大[2]。回旋区总体积VR也由27.664m3增加到34.2m3,风口回旋区体积增加幅度为23.63%。而有效体积容量包括回旋区工作体积和料柱空隙体积。风口燃烧带的向内延伸,回旋区体积增大,可以增大高炉的有效体积容量,改善风口带透气性,缓解下部风压高的矛盾。
2 块状带煤气流工况 块状带的原燃料物理特性、布料制度和布料方式决定着高炉径向的矿焦比,而对块状带而言在假定小于5mm粉末因子影响不变条件下,对透气性起着决定性作用的就是矿焦比,它显著影响着煤气流的第三次分布。 2.1 静压分布 六高炉炉身上共设5层静压检测(标高17.952 m、19.360 m、21.352 m、25.096 m、29.504 m),每层4个检测点(方位81°、171°、261°、351°)共20个静压孔。炉身静压开孔的钻头直径分为两种,分别为φ80、φ63,开孔深度对应为395mm和763mm(静压法兰盘外表面至炉内的深度)。目前每层的静压测量平均值如图3所示。图中曲线为推移平均趋势线。风口—17m静压值陡降,说明此处为压力损失集中处,可以判断该区间应为软熔带根部形成位置。
根据相关资料[3]表明,软熔带透气性约为焦炭的1/52,煤气流第二次分布只能在软熔层的焦窗层中穿行做之字形运动,煤气流的60-80%的压力损失集中在这一区域。表2为六高炉炉身纵向料线—静压层—风口各区间压力损失的分布,从表中可得知19m—风口的压力损失占比为66.49%,故可判断六高炉软熔带完全在这一区间,从而我们将这一区间以上部分即19m—料线这段区间视为块状带,块状带总压力损失为62 kPa,损失比例为33.51%。
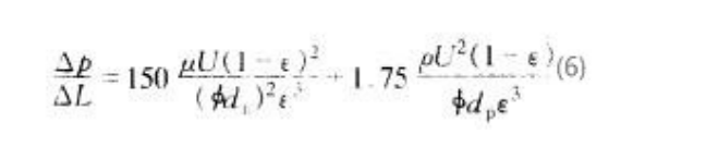
2.2 边界条件 六高炉目前采用中心加焦模式,中心焦比例为13.8%,煤气流在自我调控作用下总会往孔隙率最大透气性最好的区域流动,在现有中心加焦模式下这种现象尤其明显。我们假定块状带中心处完全为大块焦炭无矿石,边缘和中间环带处为全部烧结和球团与剩余的焦炭自由混合,混合料按照布料制度进行分配。 2.3 计算解析 煤气流压力损失可根据厄根公式[4]计算,由于高炉内块状带煤气流分布偏向于紊流状态,可忽略摩擦压力损失,直接采用运动压力损失。即公式(6)的后面一部分。
2.3.1 炉料及煤气特性
通过计算可知烧结矿等比表面积粒径为12.07mm,焦炭等比表面积粒径为46.65mm,球团等比表面积粒径为12mm。取烧结矿的形状系数为0.65,球团矿形状系数为0.92,焦炭形状系数为0.72,则综合炉料的质量分数加权平均形状系数为0.74,比表面积粒径为13.94mm。
由于烧结矿的低温还原粉化,球团矿的还原膨胀,焦炭的受重压缩的变化,块状带下部炉料会出现体积收缩,根据经验及资料[1],在边缘处及环带处焦比为315 kg/t,可推出综合炉料堆密度为1.717 kg/m3 ,也可更方便地采取实测高炉综合炉料的堆积密度,而视密度根据质量分数加权平均为3.139 kg/m3,则计算该处炉料综合孔隙率ɛ为0.454。
2.3.2.1 运动压损分析
由静压数据可知,目前六高炉19m-料线平均总压损为62 KPa,而通过厄根公式计算可得径向处运动压力损失,中心焦处压损为26.31 KPa,边缘及环带处压损为95.313 KPa,中心焦处压损减小幅度为57.56%,边缘及环带处压损增加幅度为53.73%,中心加焦保证了煤气流主通道,确实对改善上部块状带透气性有益。
也可假定无中心焦炉料按装料制度完全平铺,块状带煤气流运动压力压损维持62KPa的情况下,反算出综合炉料的空隙率ɛ为0.504,将其与表5对比,我们可知这个结果是偏高,不可接受的。这说明取消中心焦后煤气流运动压损肯定会升高,假如维持综合炉料空隙率ɛ在0.482,则19m-料线区间内压损将增加至74 KPa。 3 结语 (1)通过对风口燃烧带计算解析,表明太钢六高炉在目前参数状况下,风口回旋区长度及体积偏小,n值仅为0.47时,当保持BV:6900 m3/min,O2:30000m3/h时能使n值达到0.52,风口以上死焦堆体积能减少12.9%,大幅增加下部进风通道,改善透气性。 (2)通过对块状带煤气流计算解析,在块状带综合压力损失为62 kPa时,煤气流的运动压力损失在中心焦处减小幅度为57.56%,在边缘及环带处增加幅度为53.73%。 (3)通过厄根公式及静压数据,可以反算出炉内综合孔隙率,有利于对原料特性和煤气状态进行监测,进而指导上部调节等。 4 参考文献 [1]周传典.高炉炼铁生产技术手册[M].北京:冶金工业出版社,2005年. [2]曾华峰.攀钢2000m³高炉风口回旋区特性的研究[D].重庆大学;2007年. [3] 朱仁良.宝钢大型高炉操作与管理.北京:冶金工业出版社[M].2015年. [4] 吴胜利,王筱留,等.钢铁冶金学(炼铁部分)[M].北京:冶金工业出版社,2021年. |
- 上一篇:炼铁发展趋势及节能减排技术应用实践
- 下一篇:高炉炼铁存在的问题及技术发展路径分析











